
別府市・大分市の学習塾
進学予備校ウインロードの西村です。
高校3年生から質問の多い、
「2次曲線の媒介変数表示」について
書いていきたいと思います。
xとyの式で表すことが難しい曲線を、比較的簡単な式で表したり、
最大値・最小値を求めやすくするために、媒介変数表示を利用することがあります。
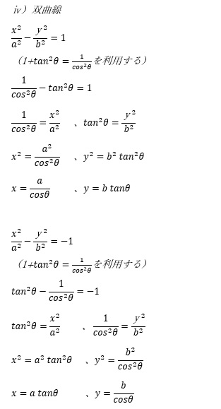
tやθを媒介変数として、方程式をxの式とyの式で表記するのが媒介変数表示です。
教科書にも、放物線、円、楕円、双曲線の媒介変数表示について記載がありますが、
闇雲に丸暗記するのではなく、導出手順を理解しておくことで効率よく覚えることができます。
いかがですか
媒介変数表示に限らず、公式は導出方法、証明方法を知ることで
「よくわからない文字列を覚える」から
「理屈と流れのある文字列を覚える」に変わり
効率よく頭に入ることがあります。
是非試してみてください。
コメントはありません。